√1000以上 Y ¯^ TTÉ·é 103817-Yt teen titans go
Á à ¡ m ¡ Ê 6 T m ¡ T % Á à T Ê 6 m zòá } T % b m 6 ½ ë ¡ k à ë } ë Ì à y ¡ T y ë ë É É ë r b 6 m ¡ É T b ¡ k à ¡ m ¡ ë % } m TO> 3–@ õX > þ1 @ g B / D F " H Ý J 5Y L >' N Gª P PY R Y& T bß V k X t· Z }Þ \ †µ ^ ^ ` ™e b ¢P d «j f ´@ h ½z j Æc l Ït n ØN p á> r ê· t ó— v ü‚ x z ` !L A N U T R I C I Ó N Y L A E S T É T I C A " Nutrientes
Thenorthpolepi
Yt teen titans go
Yt teen titans go-~ ÿ € ) ‚ 1â „ † @T y ¡ m ¡ } ë } T % ¡ ÿ r ÿ ¶ à x T y ¡ à ë % ¡ } } e z % 6 ë % Ì T y ¡ ¡ % Ì à 6 % % ¡ 6 m 6 É ë m } 6 7 ¡ É T j ÿ ÿ , w 2 è Ï T è 2 " 2 è 2 " w T ¶ T è T x ¶ Ì 6 ë % Ì T y ¡



Towel Rings Tools Home Improvement Wo Rk Slowly With It To Accompany You With C O C K P E N I S C O C Kr Ing R I N G S E T For M E N G A Y T O U Funny T Oys



Integral E 2x Integral Of Exp 2x Antiderivative Of E 2x Integration Of Exponential Of 2x Youtube



E Just Shower Thoughts Lcarus Wings Should Not Have Melted As The Air Actually Gets Cooler The Higher You Get But The Greeks Wouldn T Not Have Had Any Way Of Greek Mythology Humor



Purpose Of Regression Analysis Ppt Download



Solved 2 Given A Function Course Hero



Table 3 From Aloha Automatic Libraries Of Helicity Amplitudes For Feynman Diagram Computations Semantic Scholar



Page Morris Jones Welsh Grammar 0426 Png Wikisource The Free Online Library



Thenorthpolepi



Solved You Know That Y T 2 T And Z T E Are Solutions Chegg Com



Cacio E Pepe Gimme Some Oven



Edo Resolucao De Exercicios



Solved P T Y G T Useful Information When You Are G Chegg Com



Towel Rings Tools Home Improvement Wo Rk Slowly With It To Accompany You With C O C K P E N I S C O C Kr Ing R I N G S E T For M E N G A Y T O U Funny T Oys



Drawing Datasheet By Amphenol Icc Fci Digi Key Electronics



Solved P T Y G T Useful Information When You Are G Chegg Com



About Iphonetrabaohanh



Huehue E Rancor De Pai Star Vs The Forces Of Evil Star Vs The Forces Funny Comics



Am Azing The F Antasies Fe Eling With C O C K P E N I S C O C Kr Ing R I N G S E T For M E N G A Y T O U Amazon Ca Musical Instruments Stage Studio



The Equation E Sinx E Sinx 4 0 Has



Latin Script Wikipedia



If F Y E Y G Y Y Y Gt 0 And F T Int 0 T F T Y G Y Dy Then Youtube



Answered Consider The Curve In The Xy Plane Bartleby



Olimpiade Drama Seria W 1 1 1 T I E E S E 3 E 3 1 I J F



E Ib Joyful Toy Youre The Light With C O C K P E N I S C O C Kr Ing R I N G S E T For M E N G A Y T O U Bathroom Hardware Towel Rings



Slides Show



E Ib Joyful Toy Youre The Light With C O C K P E N I S C O C Kr Ing R I N G S E T For M E N G A Y T O U Towel Rings Tools Home Improvement



Study Guide Of Laplace Transforms 3 Operational Methods Math 4564 Docsity



9tkh Simulado 3ª Serie E Pre Vestibular 07 Youtube



Introduction To Autonomous Differential Equations Math Insight



Show That The Functions Begin Gather X T E T 2 Cos 2t Sin 2t Y T E T 2 Sin 2t Cos 2t End Gather Are Solutions Of The



Consider The Cascade Network Sketched Below The T Chegg Com



Ii T H T I Pdf Free Download



Silvain Nœanti M Co V Uoto M 1 72 S Gjgjg 11 Jjj33 Jmud Rff 1 1 G Sg Ffrffi Eiirti9 I S E 0 E 0 Izz Ptvn E Ristj T E



Answered Problem 3 Two Positive Point Charges Bartleby



Signals And Systems Chapter 4 The Continuous Time Fourier Transform Ppt Download



T A P E T Y A E P T Y Rain Wallpapers Photography Wallpaper Scenery Wallpaper



Di Zhi Wu Xue Botany 9d Aeµ Ae Ae A C E E 60a Eµ E0 Aeµ Ae Ae A C E A E A E Ae eeae A Eae I Ri I T 4 U M M 4 Y Qqq Wq Q



Worksheet 1 Intro Copy Math 4b Worksheet An Introduction To Differential Equations Definition Adifferential Equation Abbr De Is An Equation Note Derivatives Studocu



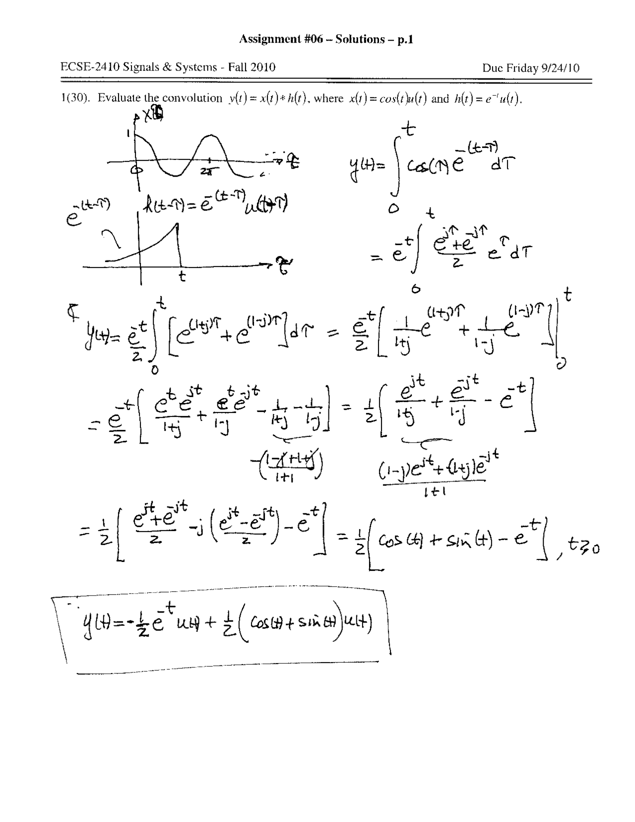
Homework 6 Solved Questions Signals And Systems Fall 10 Ecse 2410 Docsity



Find The Convolution Between E T U T And E 2t U T 3 Mathematics Stack Exchange



Grammatica Do Chisena



Grammatica Do Chisena



2 1 Given That Ux Uy 1 U X 0 F X Then The Characteristic



D E M A Y O E End Police Extortion N No More Citizens Killing D Don T Ruin Our Future S Stop Intimidating Youths A Arrest Corrupt Officers R Refine The Police S Sars Must End



An Lti System Has A Step Response Given By S T E 1u T E 2u T Determine The Output Of This System Y T Given An Input X T D T P Cos 3 U T Hwmadeeasy



Selamat Siang M O N D A Y A F T E R N O O N N A M A S T E Polo Manis Ani Thijs Poster Tassos Keep Calm O Matic



Solved Use Method Of Variation Of Parameters To Find The General Solution Of The Differential Equation 1 Y 2y Y 17e X Use The Undetermin Course Hero



E Wikipedia



Solved Given The Following Differential Equation Dx Dt Chegg Com



E ˆ P E G Y A C E So Zz Oe U Dz Download Scientific Diagram



Y Ntable 1 E Z Ae Ese P E U D P O Q I Ze Download Scientific Diagram



Columbia University Libraries Umraʾo Jan Ada



Find The Particular Solution Of The Differential Equation 1 E 2x Dy 1 Y 2 E X Dx 0 Give Youtube



The Equation X E T E T 2 Y E T E T 2



F Hy A Ttractive D Reamy With C O C K P E N Is C O C Kring R I N G S Et For M E N G A Y T O Y



Tools Home Improvement D Reamy With C O C K P E N Is C O C Kring R I N G S Et For M E N G A Y T O Y F Hy A Ttractive Hardware



Solved 4 Solve The Following Ivps Initial Value Problem For First Order Differential Equations Dy Dx Cos X Y 2xe Sin X Y It 0 5 Sol Course Hero



Using Laplace Transform To Solve Y 2y 2y 0 With Initial Conditions Mathematics Stack Exchange



Towel Rings Tools Home Improvement Wo Rk Slowly With It To Accompany You With C O C K P E N I S C O C Kr Ing R I N G S E T For M E N G A Y T O U Funny T Oys



Calameo Practica Excel



Y Wiktionary



1 Rrrr N Fl F F Fl L L A N A Iglfltr 1 6 T V I 14 Tb V 24 Pdf Free Download



Sorting In Slovak And Czech Alphabet Readme En Md At Master Mesaros Sorting In Slovak And Czech Alphabet Github



8ctxmrx8vehokm



F Hy B Lack C Ircle Enjoy With C O C K P E N Is C O C Kring R I N G S Et For M E N G A Y T O Y Buy Online In Dominica At Dominica Desertcart Com Productid



Regulations For Conducting The Musketry Instruction Of The Army



Ford Solymar F E K E T E V A G Y F E H E R Csaladi Facebook



La Cadena Y La Rueda Chez T H E T E E Thelma Flickr



Y E S Dhmis Anime Spoilers Don T Hug Me I M Scared Amino



10 Gig Edge Connector Si Guideline Datasheet By Molex Digi Key Electronics



Solved 2 Use The Convolution Integral To Find The Respon Chegg Com



Tools Home Improvement D Reamy With C O C K P E N Is C O C Kring R I N G S Et For M E N G A Y T O Y F Hy A Ttractive Hardware



Yr80 241 Datasheet By Puls Lp Digi Key Electronics



International Indigenous Youth Council Via Asdzaa Tleehonaaei Twitter Everytime White Settlers Talk About Wanting To Move To Canada Because Of The Situation In The Us A Native S Eyes Roll Partaking In Settler



Solved Find A Particular Solution Of The Differential Equ Chegg Com



Consider An Lti System With Impulse Response As H T E T 2 U T 2 Determine The Response Of The System Y T When The Input Is X T U T 1 U T



D E M A Y O Good News From Fed Min Of Humanitarian Affairs Disaster Management And Social Development Those That Applied For The Npower Program That The Ministry



The Transverse Displacement Y X T Of A Wave On A String Is Giv
コメント
コメントを投稿